1. KẾT QUẢ BÁO CÁO QUAN TRẮC TỰ ĐỘNG TỪ THÁNG 1 ĐẾN THÁNG 12/2025
Dưới đây là kết quả chi tiết của báo cáo quan trắc môi trường định kỳ tại Cụm Công nghiệp Quốc Quang Long An:
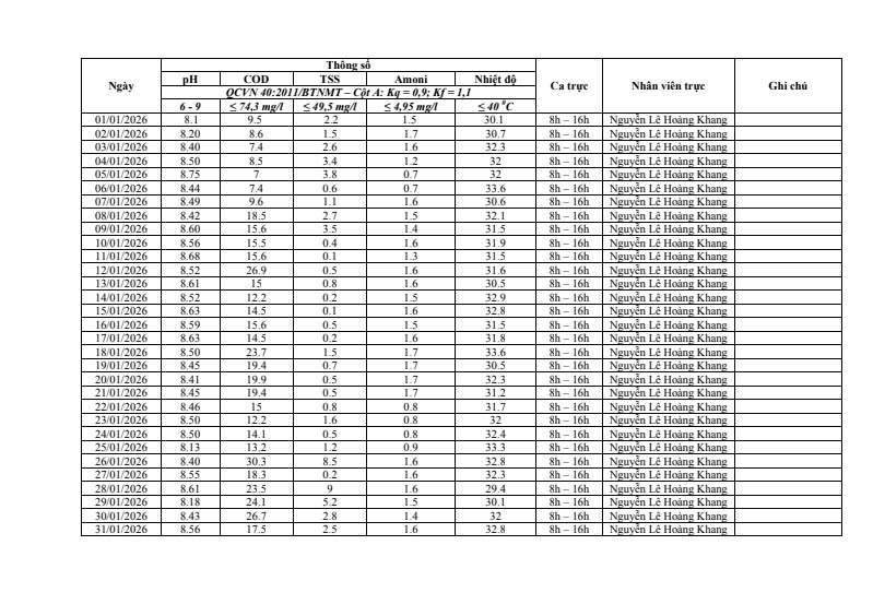
1.1. THÁNG 1/2026:
.jpg)

Kết quả báo cáo quan trắc tự động tháng 1
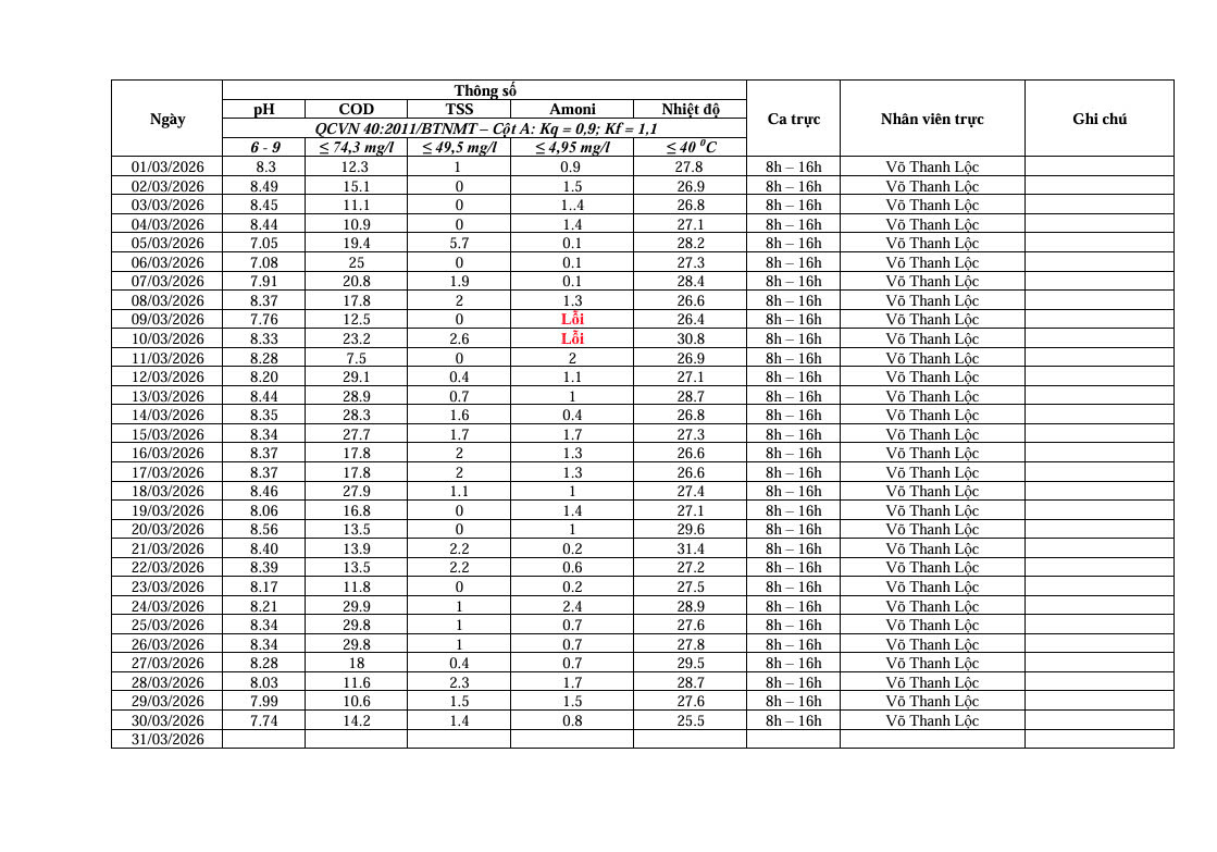
1.2. THÁNG 2/2026:

.jpg)
Kết quả báo cáo quan trắc tự động tháng 2
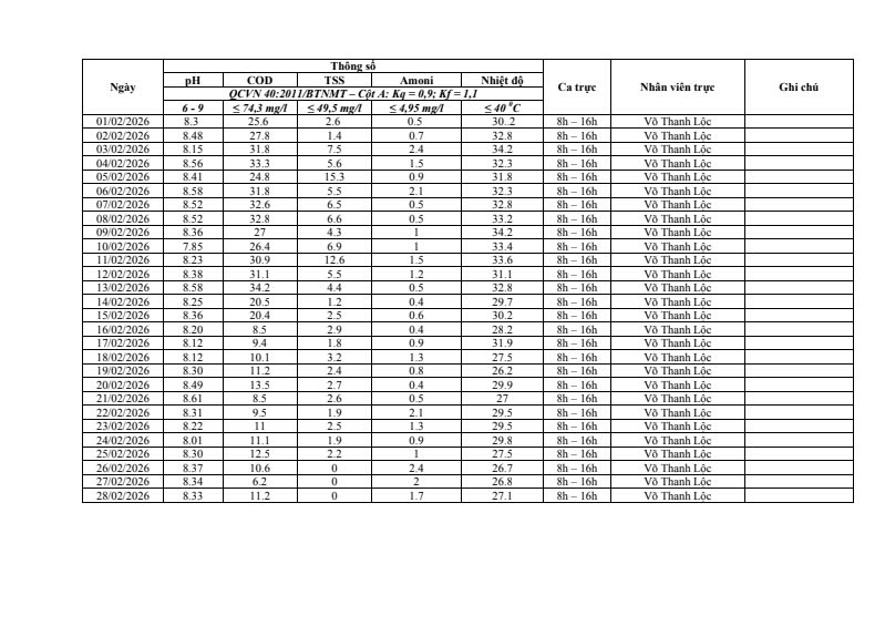
1.3. THÁNG 3/2026:


Kết quả báo cáo quan trắc tự động tháng 3
2. BÁO CÁO KẾT QUẢ QUAN TRẮC TỰ ĐỘNG NĂM 2026
Trạm quan trắc tự động tại Cụm Công nghiệp Quốc Quang được vận hành liên tục với đầy đủ các thiết bị tiên tiến nhất nhằm ghi nhận và báo cáo dữ liệu môi trường. Dưới đây là báo cáo kết quả quan trắc tự động ghi lại toàn bộ các thông số quan trắc tại Cụm công nghiệp Quốc Quang Long An năm 2026:
>> Kết quả quan trắc tự động Tháng 01
>> Kết quả quan trắc tự động Tháng 02
>> Kết quả quan trắc tự động Tháng 03
3. LỢI THẾ ĐẦU TƯ VÀO CỤM CÔNG NGHIỆP QUỐC QUANG
Cụm Công nghiệp Quốc Quang Long An nằm tại vị trí chiến lược, giáp sông và gần các tuyến giao thông quan trọng, giúp việc lưu thông hàng hóa thuận lợi. Điều này làm cho khu vực trở thành một điểm đến hấp dẫn cho các nhà đầu tư trong và ngoài nước, đặc biệt là trong năm 2026.
Các nhà xưởng tại Cụm Công nghiệp Quốc Quang được thiết kế hiện đại và tối ưu hóa cho nhiều ngành công nghiệp sản xuất, đáp ứng đầy đủ các yêu cầu về kỹ thuật và môi trường.
Nếu quý doanh nghiệp quan tâm và muốn đầu tư tại Cụm Công nghiệp Quốc Quang, vui lòng liên hệ qua các số hotline dưới đây để được tư vấn chi tiết:
- 0937 662 027
- 0909 396 569
- 02723 639 189
Hoặc gửi email để được hỗ trợ nhanh chóng:
Email: quocquang@gmail.com

