Cụm công nghiệp Quốc Quang Long An

Menu

KẾT QUẢ BÁO CÁO QUAN TRẮC TỰ ĐỘNG TỪ THÁNG 1 ĐẾN THÁNG 9/2025

Thực hiện theo chỉ thị của Sở Tài nguyên Môi trường tỉnh Long An, Cụm công nghiệp Quốc Quang đã thực hiện đo đạc và báo cáo kết quả quan trắc chất thải tự động, liên tục theo quy định tại Khoản 2 Điều 102 Nghị định số 08/2022/NĐ-CP ngày 10/01/2022 của Chính phủ.

1. KẾT QUẢ BÁO CÁO QUAN TRẮC TỰ ĐỘNG TỪ THÁNG 1 ĐẾN THÁNG 5/2025

Dưới đây là kết quả chi tiết của báo cáo quan trắc môi trường định kỳ tại Cụm Công nghiệp Quốc Quang Long An:

1.1. THÁNG 1/2025:

Kết quả quan trắc tự động Cụm Công nghiệp Quốc Quang tháng 1Số liệu kết quả quan trắc tự động Cụm Công nghiệp Quốc Quang tháng 1

Kết quả báo cáo quan trắc tự động tháng 1

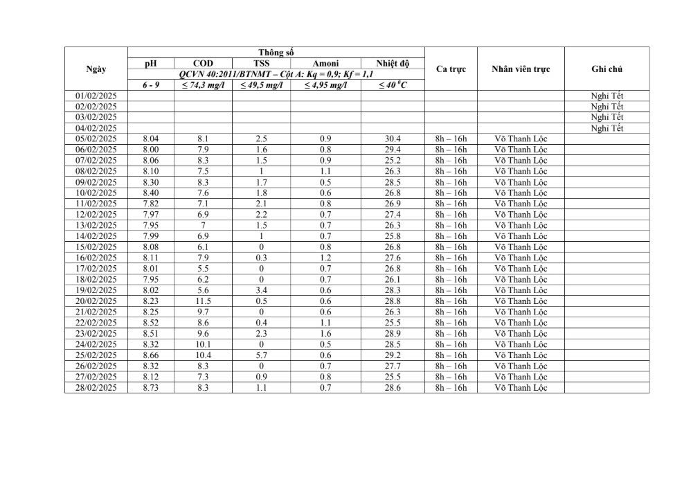
1.2. THÁNG 2/2025:

Kết quả quan trắc tự động Cụm Công nghiệp Quốc Quang tháng 2Số liệu kết quả quan trắc tự động Cụm Công nghiệp Quốc Quang tháng 2Kết quả báo cáo quan trắc tự động tháng 2

1.3. THÁNG 3/2025:

Kết quả quan trắc tự động Cụm Công nghiệp Quốc Quang tháng 3Số liệu kết quả quan trắc tự động Cụm Công nghiệp Quốc Quang tháng 3Kết quả báo cáo quan trắc tự động tháng 3

1.4. THÁNG 4/2025: 

Kết quả quan trắc tự động Cụm Công nghiệp Quốc Quang tháng 4Số liệu kết quả quan trắc tự động Cụm Công nghiệp Quốc Quang tháng 4Kết quả báo cáo quan trắc tự động tháng 4

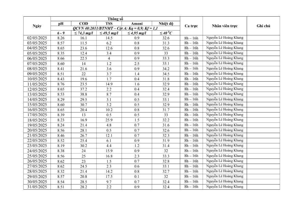
1.5. THÁNG 5/2025:

Kết quả báo cáo quan trắc tự động tháng 5/2025

Số liệu kết quả báo cáo quan trắc tự động tháng 5 Kết quả báo cáo quan trắc tự động tháng 5 

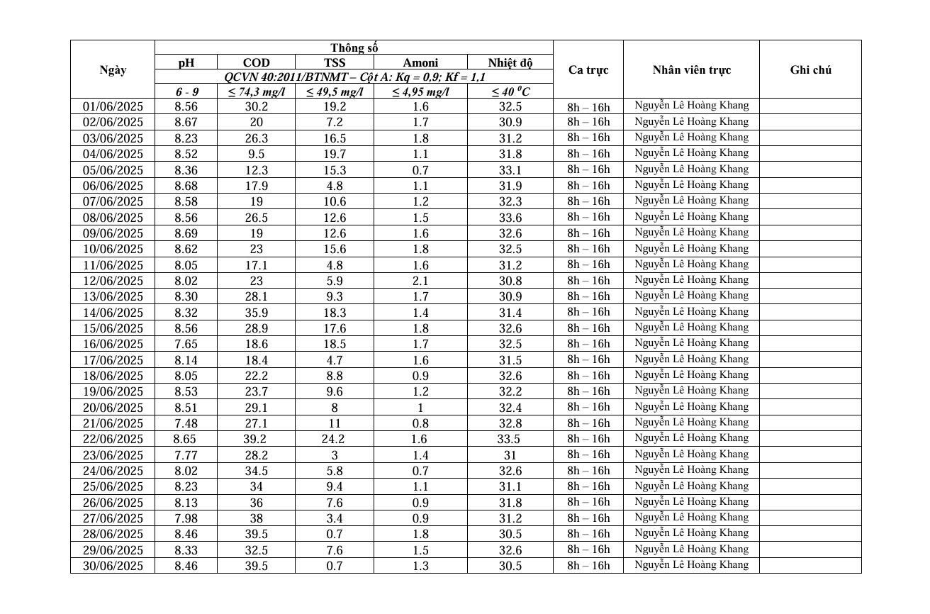
1.6. THÁNG 6/2025:

Kết quả báo cáo quan trắc tự động tháng 6Số liệu kết quả báo cáo quan trắc tự động tháng 6Kết quả báo cáo quan trắc tự động tháng 6

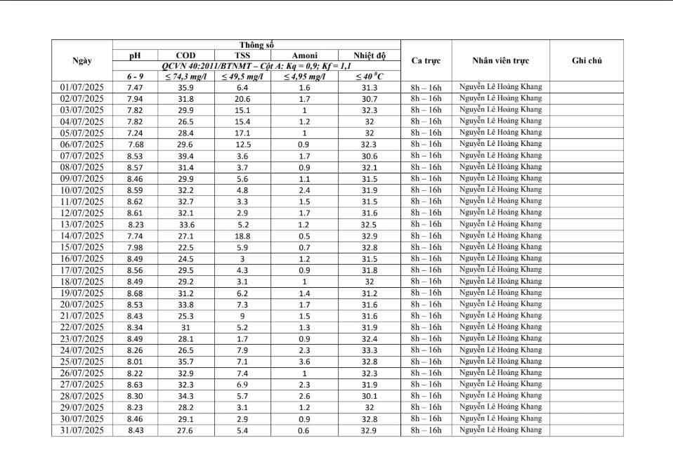
1.7. THÁNG 7/2025:

Kết quả báo cáo quan trắc tự động tháng 7

Số liệu kết quả báo cáo quan trắc tự động tháng 7

1.8. THÁNG 8/2025:

Kết quả báo cáo quan trắc tự động tháng 8 Số liệu kết quả báo cáo quan trắc tự động tháng 8

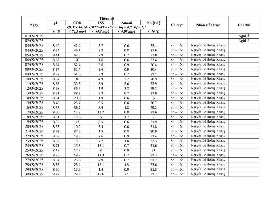
1.9. THÁNG 9/2025:

Kết quả báo cáo quan trắc tự động tháng 9Số liệu kết quả báo cáo quan trắc tự động tháng 9

 

2. BÁO CÁO KẾT QUẢ QUAN TRẮC TỰ ĐỘNG NĂM 2025

Trạm quan trắc tự động tại Cụm Công nghiệp Quốc Quang được vận hành liên tục với đầy đủ các thiết bị tiên tiến nhất nhằm ghi nhận và báo cáo dữ liệu môi trường. Dưới đây là báo cáo kết quả quan trắc tự động ghi lại toàn bộ các thông số quan trắc tại Cụm công nghiệp Quốc Quang Long An năm 2025:

>> Kết quả quan trắc tự động Tháng 01 

>> Kết quả quan trắc tự động Tháng 02

>> Kết quả quan trắc tự động Tháng 03

>> Kết quả quan trắc tự động Tháng 04

>> Kết quả quan trắc tự động Tháng 05

>> Kết quả quan trắc tự động Tháng 06

>> Kết quả quan trắc tự động Tháng 07

>> Kết quả quan trắc tự động Tháng 08 

>> Kết quả quan trắc tự động Tháng 09 

 

3. LỢI THẾ ĐẦU TƯ VÀO CỤM CÔNG NGHIỆP QUỐC QUANG

Cụm Công nghiệp Quốc Quang Long An nằm tại vị trí chiến lược, giáp sông và gần các tuyến giao thông quan trọng, giúp việc lưu thông hàng hóa thuận lợi. Điều này làm cho khu vực trở thành một điểm đến hấp dẫn cho các nhà đầu tư trong và ngoài nước, đặc biệt là trong năm 2025.

Các nhà xưởng tại Cụm Công nghiệp Quốc Quang được thiết kế hiện đại và tối ưu hóa cho nhiều ngành công nghiệp sản xuất, đáp ứng đầy đủ các yêu cầu về kỹ thuật và môi trường.

Nếu quý doanh nghiệp quan tâm và muốn đầu tư tại Cụm Công nghiệp Quốc Quang, vui lòng liên hệ qua các số hotline dưới đây để được tư vấn chi tiết:

  • 0937 662 027
  • 0909 396 569
  • 02723 639 189

Hoặc gửi email để được hỗ trợ nhanh chóng:

Email: quocquang@gmail.com

Các bài viết khác
Hotline: 0937 662 027